Python基础 专题
您的位置:python > Python基础专题 > Python多重继承
Python多重继承
作者:--    发布时间:2019-11-20

在本文中,您将了解python中的多重继承以及如何在程序中使用它。还将了解多级继承和方法解析顺序。

与c++一样,一个类可以从python中的多个基类派生出来。这被称为多重继承。

在多重继承中,所有基类的特征都被继承到派生类中。多重继承的语法类似于单继承。

python多重继承示例

class base1:
    pass

class base2:
    pass

class multiderived(base1, base2):
    pass

这里,multiderived派生自base1base2类。

multiderived类从base1base2继承。

python中的多层继承

另一方面,我们也可以继承一个派生类的形式。这被称为多级继承。 它可以在python中有任何的深度(层级)。在多级继承中,基类和派生类的特性被继承到新的派生类中。
下面给出了具有相应可视化的示例。

class base:
    pass

class derived1(base):
    pass

class derived2(derived1):
    pass

这里,derived1派生自basederived2派生自derived1

python中的方法解析顺序

python中的每个类都派生自类:object。它是python中最基础的类型。

所以在技术上,所有其他类,无论是内置还是用户定义,都是派生类,所有对象都是对象类的实例。

# output: true
print(issubclass(list,object))

# output: true
print(isinstance(5.5,object))

# output: true
print(isinstance("hello",object))

在多继承方案中,在当前类中首先搜索任何指定的属性。如果没有找到,搜索继续进入父类,深度优先,再到左右的方式,而不需要搜索相同的类两次。

所以在multiderived类的上面的例子中,搜索顺序是[multiderived,base1,base2,object]。 此顺序也称为multiderived类的线性化,用于查找此顺序的一组规则称为方法解析顺序(mro)。

mro必须防止本地优先排序,并提供单调性。它确保一个类总是出现在其父类之前,并且在多个父类的情况下,该顺序与基类的元组相同。

一个类的mro可以被看作是__mro__属性或者mro()方法。前者返回一个元组,而后者返回一个列表。

>>> multiderived.__mro__
(<class '__main__.multiderived'>,
 <class '__main__.base1'>,
 <class '__main__.base2'>,
 <class 'object'>)

>>> multiderived.mro()
[<class '__main__.multiderived'>,
 <class '__main__.base1'>,
 <class '__main__.base2'>,
 <class 'object'>]

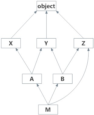
这里有一个更复杂的多重继承示例及其可视化图型。

class x: pass
class y: pass
class z: pass

class a(x,y): pass
class b(y,z): pass

class m(b,a,z): pass

# output:
# [<class '__main__.m'>, <class '__main__.b'>,
# <class '__main__.a'>, <class '__main__.x'>,
# <class '__main__.y'>, <class '__main__.z'>,
# <class 'object'>]

print(m.mro())

参考这一点,进一步讨论mro并了解实际算法如何计算。


网站声明:
本站部分内容来自网络,如您发现本站内容
侵害到您的利益,请联系本站管理员处理。
联系站长
373515719@qq.com
关于本站:
编程参考手册